カルダノの公式と例題【三次方程式の解の公式】
三次方程式の解の公式であるカルダノの公式を紹介します。

三次方程式について
三次方程式について
三次方程式 について考えます。
入試で出題される三次方程式は 因数分解できます。→三次方程式の解き方3パターンと例題5問
しかし,因数分解できないタイプの問題が誘導付きで出題される可能性も ではありません。そこで,カルダノの公式です! どんな三次方程式でも解ける万能な解の公式です。
この記事では,まず一般的な場合についてカルダノの公式を3ステップで解説します。その後,具体例を挙げます。一般的な場合でよく分からない方は具体例をご覧ください。
ステップ1:三次方程式の立方完成
ステップ1:三次方程式の立方完成
目標は一般の三次方程式 を解くことですが,定数倍と平行移動の自由度をうまく利用することでより簡単な式に変換します。
両辺を で割ると, という形になります。さらに,平行移動することで という形になります(具体的には を新たな変数とします)。
この平行移動の操作を立方完成といいます(二次方程式の1次の係数を消す操作→平方完成,に対応する概念です。
ステップ2:カルダノの公式の核心
ステップ2:カルダノの公式の核心
ここで,唐突ですが とおき自由度を1つ増やします。これがこの方法の一番の特徴です。
に代入すると,
つまり,
よって,
を満たす の組を見つければそこから が求まります。
と置いてを導出したが,唐突な置換を用いずににたどりつくこともできる。
有名な因数分解公式
の左辺と元の方程式
の係数を比較して となれば,因数分解して が求まる。これは( と置けば) と同じ式。
ステップ3:変数を順々に求めていく
ステップ3:変数を順々に求めていく
導いた の連立方程式を解く→ を求める→ を求める,という流れです。
の2つ目の式から を消去して1つ目の式に代入すると, についての2次方程式を得ます:
よって,
ここで,もともとの の連立方程式は と に関して対称なので, も同じ式で求まります。そして, がプラスの方の符号の解で がマイナスの方の符号の解としても一般性を失いません:
ここで,三乗根を取る際に注意が必要です。 の三乗根は だけでなく (ただし )
なので, が3通り求まります。
そこから, によって対応する が求まり,
が求まり, が求まるというわけです。
三次方程式の具体例
三次方程式の具体例
を解け。
・立方完成する
より, と置くと,
・ についての連立方程式を導く
は解でないので でない複素数 を用いて とおける。これを方程式に代入して整理する:
・ を求める
第二式から を消去して第一式に代入すると,
について解くと,
の対称性より がプラスの符号を採用する。
この3乗根を取ると が つ求まる。
そして,もとの連立方程式に代入して対応する を求める:
, ,
・ が求まる
, ,
2009東北大 後期
カルダノの公式をベースとした入試問題があります。
実数の間の等式 を以下の手順に従って示せ。
- 係数が整数である の三次方程式で が解になるものを1つ求めよ。
- 1 で求めた三次方程式を解くことにより,等式 を証明せよ。
-
, とおく。このとき である。 となる。ここで より すなわち が求める方程式である。
-
より は の解である。因数定理より と因数分解される。よって の解は である。
の実数解は のみであるため, が従う。
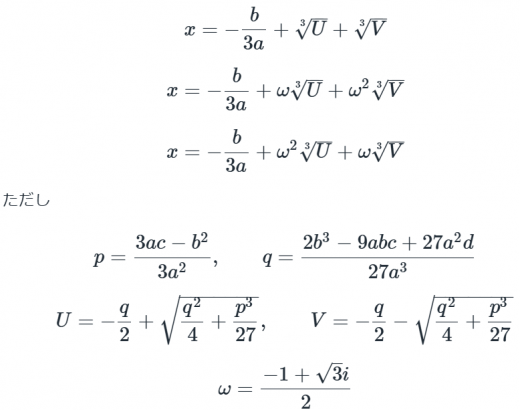
三次方程式の解の公式
三次方程式の解の公式
最後に,カルダノの公式をまとめておきます。
三次方程式 について考える。
まず とおく。
さらに とおくと,三次方程式の解は次の3つで与えられる:
ただし は の原始3乗根である。
式が複雑なのでミスらないようにするのが大変です。
Tag:いろいろな方程式の解き方まとめ